Tras casi tres meses privada de libertad en un centro de detención de San Antonio, Texas, una ciudadana cubana de nombre Elaine ha conseguido el estatus de asilada en Estados Unidos.
Su liberación se produjo el pasado martes por la noche, poniendo fin a un angustioso periodo para ella y su familia, a pesar de que ya contaba con un proceso migratorio en curso y carecía de antecedentes penales.
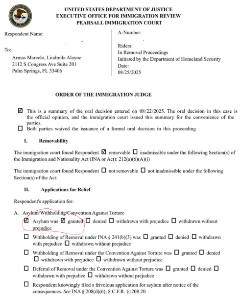
El caso fue dado a conocer por su abogada, Liudmila Armas Marcelo, quien detalló las circunstancias del proceso, explicando que Elaine fue puesta bajo custodia por el Servicio de Inmigración y Control de Aduanas (ICE) el 11 de junio.

El arresto ocurrió de manera sorpresiva durante una de sus presentaciones rutinarias ante la agencia, aun cuando portaba un documento I-220A y tenía una cita programada para su audiencia de asilo final en noviembre de 2026.
Durante su reclusión, la salud de la cubana se vio seriamente comprometida, lo que la obligó a permanecer en condiciones de aislamiento. No obstante, la defensa legal logró articular un caso robusto ante el tribunal migratorio.
“El juez valoró las fuertes evidencias presentadas y el testimonio ofrecido durante los interrogatorios en la corte y le otorgó el asilo ante la oposición del gobierno”, relató la abogada Armas Marcelo.

OTRAS NOTICIAS: Cubano con antecedentes penales fue arrestado en Florida
La decisión judicial no fue recibida inicialmente sin resistencia por parte de las autoridades federales. El fiscal representante del Departamento de Seguridad Nacional (DHS) manifestó su intención de recurrir el fallo, reservándose el derecho de apelación.
Sin embargo, posteriormente, la administración desistió de continuar con el litigio, allanando el camino para la liberación definitiva de Elaine.
El desenlace de este proceso representa una victoria significativa y permite a Elaine reunirse finalmente con sus seres queridos, concluyendo amargos meses de una profunda incertidumbre legal y personal.
Redacción de Cubanos por el Mundo